子频道
18岁以下谢绝访问
吸烟有害健康
UWIN电竞官方网站
主站
首页
单位概况
UWIN电竞官方网站要闻
企业动态
党的建设
文明文化
公示公告
当前位置:
栏目名称
正文
点击率:3773
公司简介
领导成员
投资管理
企业文化
专题
互动服务
行政审批
咨询反馈
闽烟概况
卷烟订货
卷烟查询
主站专题
福建烟草数字化转型·“e福通”课堂
福建烟草商业系统职工羽毛球赛
福建烟叶“种采烤分”一体化现场会
福建烟草商业系统最美物流人
第四届福建烟草物流管理岗位技能竞赛
2022年民法典宣传月
电子烟管理
第四届福建烟草专卖管理岗位技能竞赛
中国烟草总公司成立40周年暨烟草专卖法施行30周年
2022年福建烟草商业系统工作会
贯彻落实党的十九届六中全会精神
福建烟草专卖管理“三个十佳”宣讲
聚焦12·4国家宪法日暨“宪法宣传周”活动
学习贯彻党的十九届六中全会精神
福建UWIN电竞官方网站连锁“双十佳”评选
福建烟草商业系统第六届职工篮球赛
疫情防控 福建烟草在行动
“我为群众办实事”主题实践活动
学习贯彻“七一”重要讲话精神
2021年福建烟叶收购
扫描关注“福建烟草网”微信公众号
来源:本站
作者:UWIN电竞官方网站投资
更新:2022/4/21 10:24:38
字号: 大 | 中 | 小
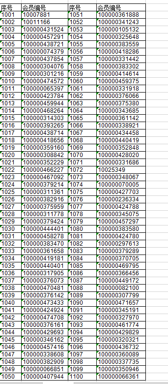
2022年4月21日UWIN电竞官方网站投资公司飞天茅台中签名单公布(详细名单见上图)。
中签会员可通过“福建UWIN电竞官方网站连锁”微信公众号,点击“UWIN电竞官方网站商城”菜单进行查询,预约提货。为保障会员信息的一贯性,已中签的会员,不再接受姓名、身份证号码和手机号码的修改申请。中签会员须凭本人身份证原件和真实有效手机号码到店提货,若手机号码与实际不符或为空号,将无法购酒。
本站面向烟草业和成年烟民开放,含有烟草内容,如果您是18岁以下人士,敬请回避 本网站不得处理有关涉密及行业敏感信息 主管:福建省烟草专卖局(公司)办公室 承办:福建省UWIN电竞官方网站文化传媒有限公司 地址:福建省福州市北环中路133号 邮编:350003 监管服务热线:12313 网站纠错:0591-87069450 增值电信业务经营许可证:闽B2-20090018,闽ICP备06036078号-2 网站标识码:bm64130001 Copyright©2005-2030 福建烟草网 版权所有
闽公网安备 35010202000186号